We’re divided our research into two categories:
3D Body Scanning for Body Composition
Objective: This study aimed to assess the accuracy of different predictive equations for estimating body surface area (BSA) in youth soccer players and to evaluate how the choice of BSA normalization influences echocardiographic measures of ventricular size. By comparing 3D optical imaging-derived BSA with ten commonly used equations, the researchers sought to identify the most reliable formulas for athletic populations.
Implications: The findings show that most existing equations overestimate body surface area (BSA) in youth soccer players, especially in males. Newer equations were more accurate and should be used for this group. We also showed that the choice of BSA equation changes how ventricular size is classified, which affects the reported prevalence of ventricular dilatation. Using the right normalization method is essential to improve the accuracy of echocardiography in athletes.
Marco Alessandro Minetto, Elisabetta Toso, Federico Della Vecchia, Andrea Ferraris, Massimo Magistrali, Gianluca Alunni, Chiara Busso, Angelo Pietrobelli, John A. Shepherd, Steven B. Heymsfield (August 2025)
“The impact of different body surface area prediction equations on ventricular dilatation prevalence in youth soccer players”.
Frontiers in Cardiovascular Medicine
Objective: The study discusses the development and evaluation of mobile 3D body scanning technology for assessing body composition. The study analyzed data from 209 scans of 118 individuals using the 4-compartment (4C) model for body composition, integrating multiple technologies like DXA and air displacement plethysmography.
Implications: Mobile 3D scanning provides a practical and precise tool for health and fitness monitoring, enabling users to track body fat and other metrics conveniently. The technology can bridge the gap between professional-grade and consumer-accessible solutions, promoting widespread use in fitness and medical applications.
Steven C. Hauser, Matthew S. Gilmer, David Bruner,Breck Sieglinger (October 2024) “”Advancements in Body Composition Assessment using Mobile Devices”.Size Stream LLC

Objective: The study highlights digital anthropometric systems providing quick, accurate body size and composition assessments through automated 3D avatars and reports. One system includes a rotating platform with cameras and a tablet, while the other uses a tablet on a stationary holder. These user-friendly tools are ideal for clinical and athletic applications, supporting personalized training and rehabilitation strategies.
Implications: The procedures presented in this article can be used to evaluate body size, shape, and composition through two commercially available solutions for 3D optical imaging that have been previously developed and validated. These solutions are simple to operate, and valid data can be quickly collected and automatically organized into a report.
Marco A. Minetto, Chiara Busso, Andrea Ferraris, Angelo Pietrobelli, John A. Shepher, Cassidy McCarthy, Steven B. Heymsfield (‘June 2024)
“Clinical Anthropometrics and Body Composition from 3-Dimensional Optical Imaging”.
JoVE Journal
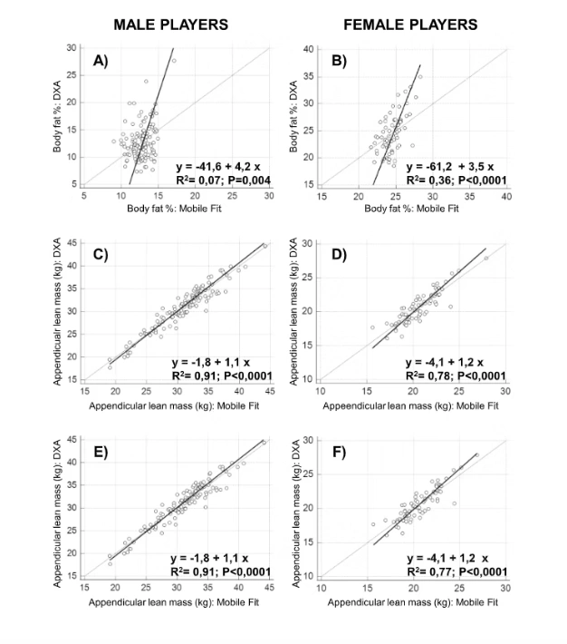
Objective: The study investigates the reproducibility and validity of using smartphone-based digital anthropometry, specifically the Mobile Fit app, for predicting body composition in youth soccer players. The aim was to assess how well the app compares to the gold standard Dual-Energy X-ray Absorptiometry (DXA) in estimating body fat percentage and appendicular lean mass.
Implications: The Mobile Fit app can be a reliable tool for monitoring body composition changes but requires further refinement for precise fat and lean mass quantifications, especially for females.
Marco A. Minetto, Angelo Pietrobelli, Andrea Ferraris, Chiara Busso, Massimo Magistrali, Chiara Vignati, Breck Sieglinger, David Bruner, John A. Shepherd, & Steven B. Heymsfield (November 2023) (“Equations for smartphone prediction of adiposity and appendicular lean mass in youth soccer players“. Nature.com – Scientific Reports

Objective: This study evaluates the reliability and accuracy of digital imaging analysis (DIA) applications in estimating body composition compared to the criterion four-compartment (4C) model. The findings reveal important points about the potential of DIA technology, including reliability, equivalence to the 4C model, and proportional biases.
Implications: The use of mobile DIA applications demonstrates a feasible and accessible method for remote body composition assessment. Training DIA applications with a 4C model enhances the accuracy of their estimates. Addressing proportional biases, particularly for populations with higher body fat percentages, will improve the precision of these applications.
Austin J. Graybeal, Caleb F. Brandner, Grant M. Tinsley. (November 2022)
““Validity and reliability of a mobile digital imaging analysis trained by a four-compartment model”
Journal of Human Nutrition and Dietetics
Objective: This paper presents and validates new formulas for estimating human body fat content, developed by Size Stream, using data from their SS20 3D body scanner and manual measurements.
Implications: The formulas offer a high level of accuracy and practicality, balancing statistical robustness with ease of application.
David Bruner, Ph.D., Size Stream CTO and Breck Sieglinger, Ph.D., Data Scientist (June 2020) “Body F.A.T. – Formulas of Adipose Tissue“. Size Stream LLC

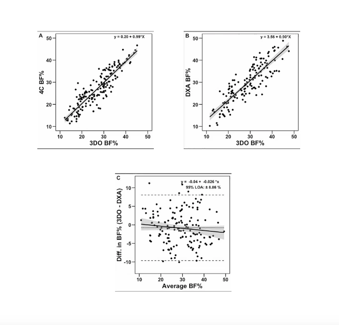
Objective: Develop and validate a new method for estimating body fat percentage (BF%) using anthropometric data obtained through 3-dimensional optical imaging (3DO) and a gold-standard 4-component (4C) body composition model.
Implications: Provide a robust, scalable approach for accurate body fat estimation in diverse populations using accessible technology.
Patrick S. Harty, Breck Sieglinger, Steven B. Heymsfield, John A. Shepherd, David Bruner, Matthew T. Stratton, Grant M. Tinsley (May 2020),”Novel Body Fat Estimation Using Machine Learning and 3 Dimensional Optical Imaging“.National Library of Medicine – National Center for Biotechnical Information

Objective: Development of a new formula for estimating human body mass using data from Size Stream SS20 3D body scans. These formulas were developed and cross-validated using a diverse set of over 1,790 human 3D body scans (of 179 individuals). Machine learning techniques were utilized to correlate the 3D body scan data to calibrated body mass measurements.
Implications: The new formulas yield impressive results with R2 (R SQUARED) > 0.95 in terms of kilograms body calibrated scale data and the estimate from the 3D body scan. The STD is 3.47.
David Bruner, Breck Sieglinger (June 2019)
“Size Stream Body Mass Formulas”.
Size Stream LLC